徐州医科大学发表IF 7.4/中科院Q1文章:细胞焦亡热点如何关联糖尿病临床问题?国自然基础这样思路积累准没错!

i生信 i生信 2024-01-22 11:31
图片
本期分享一篇糖尿病肾病焦亡相关基因及潜在药物的鉴定的文章,鉴定与焦亡相关的潜在的DN治疗药物/化合物,这可能为DN的治疗带来启示。

图片

文章于2023年7月发表于《Journal of Translational Medicine》,通讯作者为徐州医科大学的鲁茜教授,标题“Identification of pyroptosis-related genes and potential drugs in diabetic nephropathy”(IF 7.4)。


文章亮点
1、通过焦亡相关基因鉴定出两类DN亚群。这种分类可能有助于更好地理解糖尿病肾病的异质性,并为个体化治疗提供基础。
2、指出了这两个亚型具有不同的免疫浸润特征,暗示了免疫系统在糖尿病肾病发展中的复杂性
3、在药物基因相互作用数据库中筛选了用于糖尿病肾病治疗的候选药物。这提供了潜在的治疗选择,为进一步的临床研究和药物开发提供了方向
PART.01


研究背景


糖尿病肾病(DN)糖尿病(DM)严重的微血管并发症之一。越来越多的研究表明,炎症状态在 DN 的发生和发展中起着至关重要的作用

细胞焦亡是一种新的程序性细胞死亡方式,具有自然免疫炎症的特殊性。抑制炎症细胞因子表达和调节细胞焦亡相关通路可能是 DN 治疗的新策略。

本研究的目的是鉴定焦亡相关基因和治疗DN的潜在药物

PART.02


研究内容


  1. 通过差异基因分析公共数据库中焦亡相关基因在DN患者中的表达

  2. 通过logistic回归筛选与DN相关基因并构建风险评估模型

  3. 通过CIBERSORT探索焦亡相关的分子亚群间免疫微环境的差异

  4. 通过PPI探索不同亚群间的枢纽基因,并通过公共药物数据库预测潜在治疗靶点

PART.03


研究结果


01

在糖尿病肾病中鉴定与细胞焦亡相关基因的表达

作者通过文献获取了焦亡相关基因,并从与糖尿病相关肾病(DN)的公共数据集中获取了这44个相关基因的表达情况,并对其进行了PPI分析。通过差异基因分析,得到了24个差异表达基因,并在人数据集中进一步进行验证,qRT-PCR验证的结果提示了高糖组的CASP1、CASP8、IL18和TP53表达显著上调(图1)

图片

图1:鉴定出DN中与焦亡相关基因,并进行差异基因验证

02

焦亡相关基因预测模型的构建

通过logistic回归筛选与糖尿病肾病(DN)相关的24个基因,应用LASSO回归选择了16个基因构建预测模型。风险评分公式包含实验值和权重,结果显示DN组的风险评分显著高于对照组。这表明选择的基因组合可作为潜在的糖尿病肾病风险生物标志物(图2)

图片

图2:构建风险模型

03

鉴定细胞焦亡相关的分子亚群以及免疫微环境差异

为了探索16种焦亡相关DEG的表达与DN亚型之间的联系,通过对公共数据集中41名 DN 患者进行了聚类分析,发现聚类数为2时,组内相关性最高,组间相关性较低。通过CIBERSORT算法计算发现亚群1的浆细胞、活化NK细胞、单核细胞、M1巨噬细胞和中性粒细胞浸润水平较高,活化的CD4 T细胞、γ δ T 细胞、M2巨噬细胞和静息肥大细胞浸润水平较低(图3)

图片

图3:基于细胞焦亡相关差异表达基因的DN分类

04

基于差异基因的PPI网络构建及药物基因相互作用预测

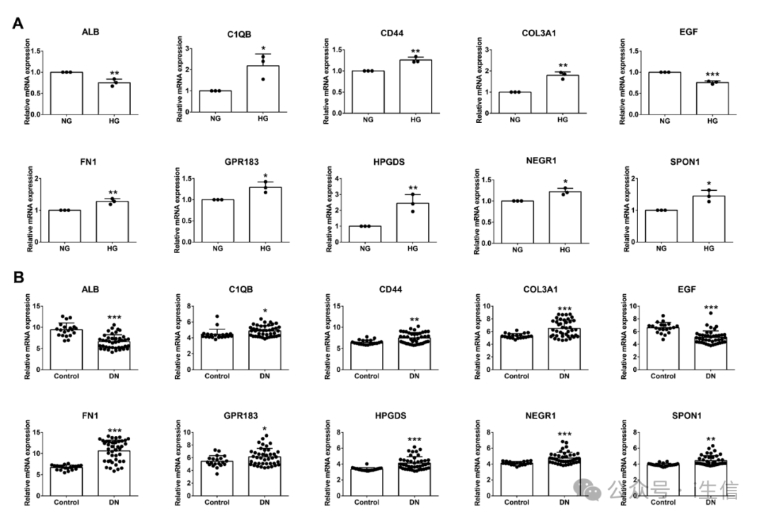
为了进一步探索两个亚群间差异表达基因的相互作用,作者通过PPI发现了枢纽基因ALB、C1QB、CD44、COL3A1、EGF、FN1、GPR183、HPGDS、NEGR1和SPON1,它们被用作DN治疗的潜在药物靶标(图4 A、B)

图片

图4:基于差异表达基因亚群中心节点的药物预测

DGIdb数据库的药物-基因相互作用结果揭示了 65 种潜在的 DN 治疗靶点药物/化合物(图 4C)。其中,10种针对ALB的药物,ALB基因预测得分最高,公共数据集的分析结果提示,与正常葡萄糖组相比,高糖组的C1QB、CD44、COL3A1、FN1、GPR183、HPGDS、NEGR1和SPON1表达显著上调,而ALB和EGF表达下调(图5)

图片

图5:已确定的前10个枢纽基因的表达

PART.04


文章总结


本文采用了多种生物信息学分析方法,包括基因表达综合(GEO)数据集分析、LASSO回归分析、共识聚类分析、基因集变异分析(GSVA)、GO功能富集分析、KEGG通路分析、蛋白质-蛋白质相互作用网络分析等,揭示了焦亡在DN中的潜在作用构建的预测模型证实了焦亡基因与DN风险的相关性。进一步的免疫细胞浸润分析暗示着免疫反应在焦亡过程中的重要性。结果表明,针对不同焦亡基因的治疗策略可能是改善DN患者预后的关键所在

本文也有以下的不足

  • 首先,作者的研究缺乏患者临床特征的相关信息,例如年龄、性别和病程,这些信息可能会影响基因表达。

  • 此外,需要考虑大量的DN患者样本来验证研究结果的稳定性。未来的研究应包括体外和体内实验,以验证已识别化合物的治疗潜力

PART.05


拓展研究


其实可以通过已有的文章,去挖掘文章中有什么不足的地方,向国自然或者各类基金靠拢,而申请这些基金往往需要更高一级的标准,如全面的临床数据、样本的规模、实验验证的完整性、药物靶点的验证等。

  1. 加强临床数据采集:在研究计划中明确收集患者的关键临床特征,包括年龄、性别、病程等信息。这可以通过与医疗机构或临床合作,获取更全面的患者数据。

  2. 扩大样本规模:提出更具体的样本规模目标,确保有足够的DN患者样本进行分析。可以探索与多个医疗中心或合作伙伴建立合作关系,以增加样本收集的效率。

  3. 引入实验证据:在申请中强调实验证据的必要性,包括体外和体内实验。明确将如何设计和执行这些实验,以验证生物信息学分析的结果,加强研究的可靠性和可信度。

  4. 详细描述潜在药物验证计划:提供更具体的计划,说明如何验证已识别的化合物的治疗潜力。包括体外细胞实验、动物模型实验和可能的早期临床实验设计,以确保研究的转化潜力。


如果大家对这类简单生信分析+课题基础设计提升文章水平的方向感兴趣,可以联系我们(扫描下方二维码添加小秘书)。

-广告-

生信工程师专门对接

个性化分析方案定制

图片

图片





“小张聊科研”团队郑重声明:我公司对外联络的渠道为企业微信及企业邮箱,请大家认准@解颐生物的企业微信,及@joyebio.com的企业邮箱。

阅读推荐:

微信扫一扫
关注该公众号