万物皆可建模!利用免费数据库简简单单发篇4+纯生信预后分析文章

羁绊 小张聊科研 2021-06-14 15:01

图片

图片

基于mRNA表达数据计算得到的干细胞指数(mRNAsi)能够评估肿瘤干细胞特征和癌基因去分化程度。研究发现,较高的mRNAsi与多种癌症的进展和转移密切相关,此外,干细胞指数的研究能够为有效鉴别抗癌药物靶点提供新的思路。


今天给大家分享的这篇纯生信文章全面探究了胃癌的干细胞指数mRNAsi与患者预后、临床特征、基因突变状态、免疫反应及肿瘤微环境之间的关系。文章题目:Identification of Stemness Characteristics Associated With the Immune Microenvironment and Prognosis in Gastric Cancer

图片



图片
研究背景
图片

由于细胞学特征和结构差异,目前临床上普遍采用的组织病理学分型来预测胃癌患者的预后效果不佳,只有彻底了解癌症的发病机制,才能更好地预测预后,指导临床治疗。已有研究表明,肿瘤干细胞的激活促进肿瘤的侵袭和转移,也是化疗耐药的重要原因。该研究旨在探究干细胞指数(mRNAsi)与患者临床特征及预后、基因突变状态、肿瘤微环境的关系,以期开发出用于胃癌遗传分类的新型分子生物标志物。


图片
数据来源
图片

从TCGA和GEO数据库获取胃癌患者的mRNA数据和相应的临床信息;从TCAP数据库获取胃癌(3级)的PD-L1蛋白表达数据。


图片
研究思路
图片

首先通过WGCNA分析从TCGA数据集的差异表达基因中筛选mRNAsi相关的基因(SI基因)。再利用ssGSEA分析,根据SI基因计算基于SI基因的每个样本ssGSEA得分。然后分析ssGSEA评分与胃癌预后、临床特征、基因突变状态、免疫细胞浸润及肿瘤微环境的关系。最后,使用(LASSO)Cox回归算法构建具有预后SI基因的预后模型。

图片


图片
研究结果
图片

1、mRNAsi值与胃癌患者预后及临床特征、基因突变及肿瘤微环境具有密切关系

生存分析结果表明MRNAsi值高的患者总生存期和无病生存期都更长;mRNAsi值与微卫星不稳定性(MSI)、免疫浸润及肿瘤微环境都有着密切关系:mRNAsi值高的组MSI发生率较高,预后较好。高mRNAsi患者组的肿瘤纯度更高,mRNAsi值与免疫评分显著负相关。此外,mRNAsi值与PD-L1的表达呈显著正相关。


总之,这部分内容就是要告诉我们胃癌患者具有mRNAsi特异性,mRNAsi作为胃癌免疫治疗反应的预测生物标志物是很有潜力的。

图片

Figure 1:干细胞指数(mRNAsi)与患者预后相关


图片

Figure 2:干细胞指数(mRNAsi)与突变状态、

免疫浸润及肿瘤微环境密切相关


2、mRNAsi相关的基因(SI基因)预测胃癌预后的潜在价值

前面注意说明了干细胞指数(mRNAsi)具有重要的预后及临床治疗指导价值,但是mRNAsi值是根据参考数据集计算得到的,不能直接用于实际临床指导。因此,作者就通过一系列的生信分析,去挖掘与mRNAsi密切相关的基因,进而去建立一个与mRNAsi预测模型高度相似的预测模型。作者是怎么寻找mRNAsi密切相关的基因呢?简单总结就是先通过差异表达分析找正常组织和肿瘤组织之间的差异表达基因,然后利用WGCNA分析筛选与mRNAsi值显著相关的基因(SI基因)。


为了说明这样筛选到的SI基因能够替代mRNAsi值进行预后及临床治疗预测的,作者基于SI基因,通过ssGSEA分析获得了每个样本的ssGSEA评分。然后用同样的分析方法探究了ssGSEA评分与胃癌患者预后及临床特征、基因突变、免疫浸润及肿瘤微环境的关系,结果发现根据SI基因建立的ssGSEA评分在预测胃癌和免疫细胞浸润与mRNAsi结果一致。


总之,作者筛选出的SI基因是可以替代mRNAsi值,可以作为胃癌免疫治疗反应的预测生物标志物的。将不能直接利用的mRNAsi值转化成mRNAsi相关的基因(SI基因),从而构建预后模型,这部分就是文章亮点了!

图片

Figure 3:WGCNA分析筛选干细胞指数(mRNAsi)相关基因


图片

Figure 4:ssGSEA评分评估胃癌的预后和临床病理特征


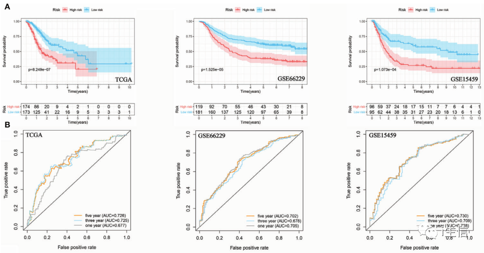
3、基于SI基因构建预后模型及模型验证

后面就是肿瘤预后研究的常规生信分析了,分析内容包括Cox回归分析筛选18个SI基因用于构建预后模型;基于预后风险评分将患者样本分为高危组和低危组;外部数据集(GEO数据)验证模型准确性;生存分析及单因素/多变量Cox回归分析进一步说明模型的可靠性;最后阐明了预后风险评分可以显著改善诺模图对生存预后的预测性能。


虽然这部分都是我们最熟悉的常规分析,但也是这篇文章的核心内容了,总之就是要告诉我们该研究构建的预后模型好,很好,非常好!

图片

Figure 5:基于18个SI基因构建胃癌预后模型


图片

Figure6:基于预后风险评分和临床病理特征的nomogram图


图片
总结
图片

总体来说,这又是一篇换汤不换药的肿瘤预后研究套路文章,但那又如何,纯生信文章,影响因子4.846,就问你香不香!!!香的话赶紧也来一套呀!


如果你心动了
合作复现请扫码联系
备注:干细胞指数

图片



图片
END



注:本推文未经许可禁止转载。

阅读推荐:



图片

微信扫一扫
关注该公众号