5+!通过机器学习预测乳腺癌脑转移的预后的新模型

ZK 中科生信 2023-07-02 19:46 发表于北京

大家上午好!今天小编和大家分享一篇23年6月发表在Journal of Translational Medicine(IF:7.026)杂志的文章《Novel models by machine learning to predict prognosis of breast cancer brain metastases》。作者通过生物信息学分析与临床数据的结合,构建了预测乳腺癌脑转移预后的新模型。

背景:

乳腺癌(BC)正在成为全球诊断率最高的癌症,也是女性癌症相关死亡的主要原因。乳腺癌转移到中枢神经系统(CNS)是一种毁灭性的疾病,涉及脑实质或脑膜。乳腺癌脑转移(BCBM)患者的预后特别差,其中位生存时间只有10个月。这些患者被认为是无法治愈的。因此,生存时间是他们最关心的问题。目前对脑转移的治疗方案(如类固醇、颅内放疗、和选定患者的手术切除)是有限的,只是姑息性的,而不是治愈性的。此外,不同的临床特征也大大影响了BCBM患者的预后。因此,迫切需要建立预后预测模型,以准确回答BCBM患者对生存的担忧,并帮助优化他们的管理。

方法:

本研究基于来自SEER数据库(2010-2019)的BCBM数据,通过COX回归分析以确定BCBM患者的预后因素。通过交叉验证,构建了XGBoost模型来预测BCBM患者的生存期。同时,通过临床收集BCBM样本来验证模型。利用倾向性评分匹配和K-M生存分析,调查了接受手术治疗或不接受手术治疗的患者的预后情况,通过对不同分子亚型患者的COX亚组分析进行了进一步验证。

         

技术路线:

         

图片

研究结果:

1 BCBM患者的临床特征

从SEER数据库(2010年至2019年)获得了1933名符合条件的BCBM患者的信息。脑转移的BC患者的临床病理特征总结如下。患者的中位年龄为60岁,其中141名(7.29%)患者小于40岁,129名(6.67%)患者大于80岁。739名患者(38.23%)在诊断后一个月以上接受了治疗,877名患者(45.37%)接受了立即治疗。HR+/HER2-占分子亚型的37.09%,其次是HR-/HER2-(17.23%),HR+/HER2+(15.93%)和HR-/HER2+(12.36%)。在种族方面,74.86%的患者是白人。浸润性导管癌(IDC)是最主要的组织病理学类型(65.13%)。在婚姻状况方面,40.87%的患者是已婚,25.61%是单身。T1至T4分期的比例分别为10.14%、21.31%、12.83%和33.11%,N0至N3为19.56%、41.49%、8.85%和14.49%。约39.11%的肿瘤患者进展为III级或IV级肿瘤,而只有3.47%的患者为I级。约34.97%的患者家庭年收入为7万美元。在治疗领域,只有12.11%的患者接受了手术治疗,60.84%接受了放疗,54.58%接受了化疗。骨、肝、肺转移,远处淋巴结和其他远处器官转移的患者分别占64.83%、33.32%、43.51%、14.69%和11.02%。

2 单变量和多变量的COX回归分析

单变量COX回归分析,发现了显著影响BCBM患者总生存率(OS)和乳腺癌特定生存率(BCSS)的变量,包括诊断时的年龄、种族、婚姻状况、组织学类型、从诊断到治疗的月份、家庭收入中位数(信息调整后)、分子亚型、T和N期、等级、远处转移和治疗信息。

多变量COX回归分析,以消除混杂因素,发现影响OS和BCSS的独立因素。结果显示,在年龄大于50岁的患者中,ILC、T4期、肺转移与OS和BCSS恶化有很大关系。HR-/HER2+和HR-/HER2-亚型的患者比HR+/HER2-患者的OS和BCSS更差,而HR+/HER2-和HR+/HER2+之间没有区别。在治疗方面,研究显示,在多变量COX回归分析中,只有化疗能够延长OS和BCSS,而不是放疗和原发肿瘤手术。预后也受到一些社会因素的影响,包括婚姻状况和家庭经济稳定性。已婚状况和家庭年收入超过70,000美元与较高的生存率密切相关。

3 建立和评估用于估计BCBM患者预后的预测模型

根据所获得的结果,建立了一个XGBoost预测模型,以预测BCBM患者在6个月、1年、2年和3年的OS。将患者按7:3的比例分为训练和测试数据组。为了确保模型的稳定性,我们在训练组中使用了十倍交叉验证法进行反复测试和调整,以确定关键的超参数并生成最佳模型。对于训练集和验证集,我们形成了预测的ROC曲线并计算了相应的AUC。我们的XGBoost模型在预测BCBM患者6个月(测试集:AUC=0.824;训练集AUC=0.828)、1年(测试集:AUC=0.813;训练集AUC=0.831)、2年(测试集:AUC=0.800;训练集AUC=0.819)和3年(测试集:AUC=0.803;训练集:AUC=0.834)。与传统的机器学习算法相比,LR(6个月:AUC=0.794;1年:AUC=0.744;2年:AUC=0.740;3年:AUC=0.744),RF(6个月:AUC=0.770;1年:AUC=0.729;2年:AUC=0.730;3年:AUC=0.756),SVM(6个月:AUC=0.730;1年:AUC=0.647;2年:AUC=0.525;3年:AUC=0.509),KNN(6个月:AUC=0.738;1年:AUC=0.623;2年:AUC=0。581;3年:AUC=0.586)和ID3(6个月:AUC=0.692;1年:AUC=0.628;2年:AUC=0.685;3年:AUC=0.639),XGBoost模型表现最好。

图片

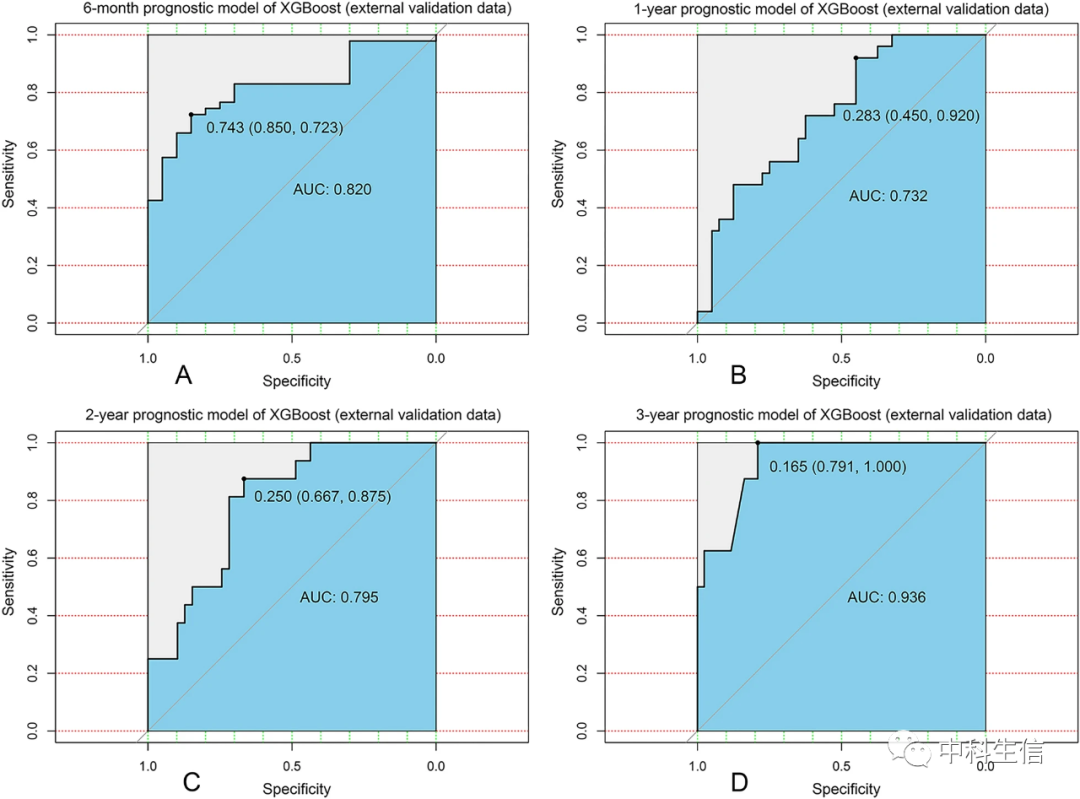
为了进一步验证我们的模型,收集了67名BCBM患者的临床和预后信息。结果显示,XGBoost模型在外部独立的数据集中仍表现出良好的稳健性[6个月:AUC=0.820;1年:AUC=0.732;2年:AUC=0.795;3年:AUC=0.936]。

图片

然后用混淆矩阵来评估XGBoost模型的有效性和精确性。经计算,6个月生存预测模型的正确率为0.76,精确度为0.76;1年生存模型的正确率为0.73,精确度为0.72;2年生存模型的正确率为0.79,精确度为0.73。而3年生存模型的正确率为0.88,精确度为0.67。总的来说,模型表现得很好,很成功。

图片

此外,还对模型中的临床特征的突出程度进行了分级。研究结果显示,影响预后的前5个因素是化疗、分子亚型、诊断时的年龄、等级和T期。其中,化疗是短期预后模型(6个月和1年)的最重要因素,而分子亚型对中长期预后模型(2年和3年)更为重要。

图片

4 基于网络的应用开发

为了帮助研究人员和临床医生学习使用我们的预后模型,我们在shiny平台上开发了用户友好的网络应用。Te网络界面允许用户输入新样本的临床特征,然后网络应用可以根据BCBM患者的信息帮助预测生存概率和生存状态。

图片

5 按分子亚型划分的BCBM患者的手术治疗的益处

以前的研究证明,手术治疗是BCBM患者的一个独立预后因素。然而,我们的多变量COX回归分析给了我们相反的结果。此外,我们探讨了手术如何影响BCBM患者的预后。根据基线特征对接受手术治疗的患者和未接受手术的患者进行了比较。结果表明,这两组患者的基线是不同的。因此,我们采用了PSM来调整观察到的不平衡。经过PSM校正后,基线特征最终没有明显的差异。

图片

在PSM调整后的数据组中,手术中的总死亡风险下降了35%(P=0.00014,HR:0.65;95%CI 0.52-0.81),BC相关的死亡风险也同样下降了约34%(P=0.00048,HR:0.66;95%CI 0.52-0.83)。根据分层的K-M生存分析,HR+/HER2+和HR-/HER2+亚型的BC患者在手术后的OS和BCSS都有很大的改善。然而,在HR+/HER2-亚型中没有发现明显的差异。此外,手术治疗对HR-/HER2-亚型患者的OS和BCSS的影响是不同的。为了进一步验证这些结果,我们根据分子亚型将所有1933名符合条件的BCBM患者分为四组,并再次进行单变量和多变量的COX分析。结果显示,只有HR+/HER2-亚型不能从手术治疗中获益,这与我们的PSM调整的K-M生存分析结果一致。

图片

图片

微信扫一扫
关注该公众号