Nature Medicine | 不要喝酒!不要喝酒!喝酒增加中国男性罹患61种疾病的风险

生命科学前沿 2023-12-21 00:05

图片

全世界每年约有300万人死于酒精消费,但它与许多疾病的关系仍然不确定

2023年6月8日,英国牛津大学Zhengming Chen及Iona Y. Millwood 共同通讯在Nature Medicine(IF=87)在线发表题为Alcohol consumption and risks of more than 200 diseases in Chinese men的研究论文,该研究揭示了中国男性饮酒与200多种疾病的风险

该研究调查了12年的中国慢性病前瞻性研究协作组中超过512,000名成年人(41%男性)的207种疾病与饮酒的关系。在基线时,33%的男性经常饮酒。

图片

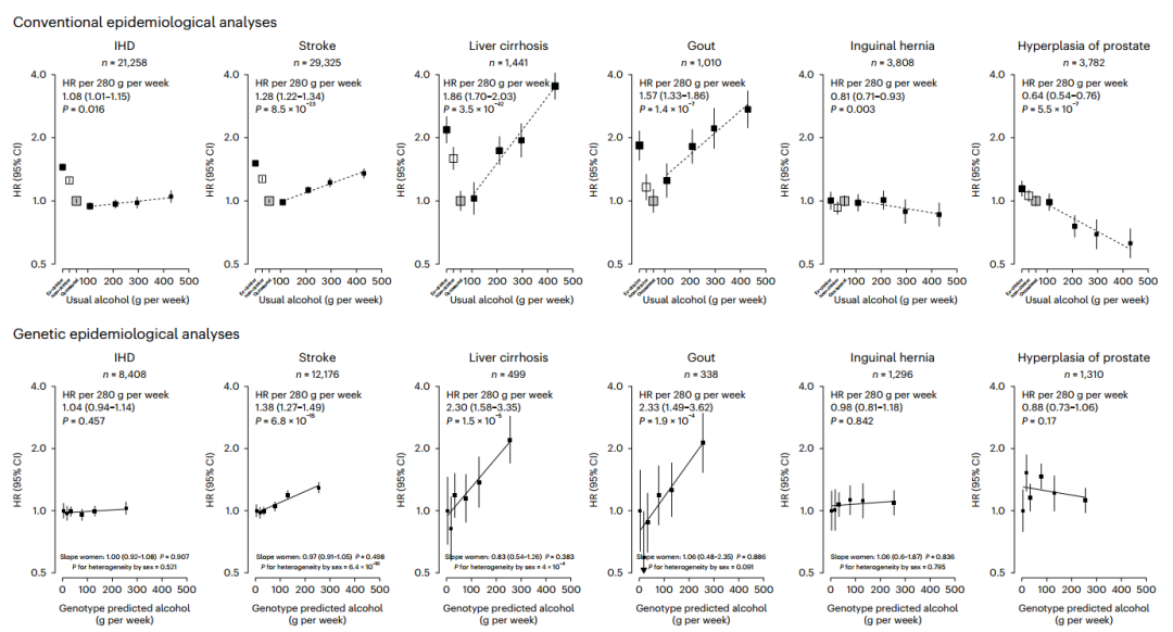
在男性中,酒精摄入与61种疾病呈正相关,其中包括33种未被世界卫生组织定义为与酒精相关的疾病,如白内障和痛风。基因型预测的平均酒精摄入量与建立的和新酒精相关疾病,并伴有肝硬化等特殊疾病,行程和痛风,但没有缺血性心脏病。

在女性中,2%的人饮酒,导致评估自我报告的酒精摄入量与疾病风险之间关系的能力较低,但女性的遗传研究结果表明,男性的过度风险并非由于多效性基因型效应。在中国男性中,饮酒增加了多种疾病的风险,强调需要加强预防措施以减少酒精中毒。

图片

酒精消费是导致身心健康状况不佳的一个主要风险因素,2016年全球约有300万人死亡,超过1.3亿残疾调整生命年。自20世纪90年代以来,包括中国在内的许多低收入和中等收入国家的酒精消费量有所增加,其中几乎完全是男性。在中国男性中,报告过去12个月饮酒的人数从59%增加到85%,1990年至2017年期间,年人均饮酒量从7.1升增加到11.2升,预计未来几年还会增加。

以前主要在西方人群中进行的流行病学研究提供了一致的证据,证明饮酒对几种主要疾病的危害,包括几种类型的癌症和心血管疾病、肝硬化、传染病(例如结核病和肺炎)和伤害。与医院记录相关的大型西方队列研究也调查了酒精与几种不常见或非致命性疾病风险之间的关系。对于某些癌症(如胃癌),有暗示性证据表明其与大量饮酒有微弱的正相关,而对于其他癌症(如白内障),有限的现有证据却自相矛盾。

然而,来自西方人群的证据,即使是已知与酒精有关的疾病的证据,也可能无法推及到中国人群,因为中国人群的饮酒流行程度和类型(主要是烈酒)、疾病模式(例如高卒中率)以及代谢酒精能力的差异与西方人群存在显著差异。

图片

选定的酒精相关疾病与自我报告的酒精摄入量和基因型预测的男性平均酒精摄入量的关联(图源自Nature Medicine 

对于许多疾病,包括世界卫生组织(WHO)认为与酒精有关的疾病(例如缺血性心脏病(IHD)和糖尿病),这些关联的因果关系仍然存在不确定性,这可以在使用孟德尔随机化(MR)方法的遗传研究中进行评估。在这类研究中,基因变异可以用作酒精消费的工具,以调查饮酒与疾病之间的潜在因果关系,这可以限制传统观察性研究中常见的混淆和反向因果关系的偏差。这类研究在东亚人群中提供的信息尤其丰富,在东亚人群中,两种常见的遗传变异(ALDH2-rs671和ADH1B-rs1229984)在西方人群中都很罕见,它们极大地改变了酒精代谢,并强烈影响酒精摄入量。

一些研究利用这些基因变异探讨了饮酒与心血管疾病风险因素、发病率和癌症之间的因果关系,但对某些疾病(如IHD)的发现仍不确定,而对其他疾病的证据则很少。

总的来说,目前的研究表明,在中国男性中,酒精消费具有广泛的疾病结果的实质性危害。研究结果强调了降低人口平均酒精消费量作为中国公共卫生优先事项的必要性。未来对世界范围内和特定区域酒精引起的疾病负担的估计应纳入来自目前和任何未来研究的新的遗传证据,这些研究表明酒精消费与广泛的疾病结果可能存在因果关系。

原文链接:https://www.nature.com/articles/s41591-023-02383-8

来源:Bioon细胞、iNature

   




图片

主编微信

商务合作,重要事宜


图片

图片

赵编微信(加群小助手)


注:添加微信请备注昵称+单位+研究



生命科学综合交流QQ群:681341860

微信学科群:病毒学群,神经科学群、临床医学、肿瘤学科群、硕博交流群和医药投资交流群(微信群审核要求较高,请各位添加赵编后主动备注单位研究方向)

          

微信扫一扫
关注该公众号