泛癌公共数据纯生信挖掘发12分+SCI

CC 生信发文助手 2023-07-20 20:00

图片

今天给大家介绍一篇2023年3月发表在JOURNAL OF BIOMEDICAL SCIENCE(IF:12.77)上的文章。本研究在泛癌中利用单细胞RNA-seq和组织RNA-seq数据对内皮细胞的表达水平进行全面分析,利用内皮细胞相关衰老特征构建的风险评分对多种癌症的治疗反应均有良好的预测能力。


A transcriptomic pan-cancer signature for survival prognostication and prediction of immunotherapy response based on endothelial senescence

基于内皮细胞衰老的生存预测和免疫治疗反应的转录组学泛癌症特征

生信分析定制服务

请扫描下方二维码

图片

也可直接添加小编微信:keyan-zhishi2沟通

摘要

背景:微血管内皮细胞控制着恶性肿瘤的营养输送、氧气供应和免疫监视,因此代表了癌症的生物学前提和治疗的脆弱性。

方法:作者对不同癌症的已发表单细胞RNA测序数据集进行了细胞特异性衰老分析,并应用机器学习的特征选择算法选择关键基因作为预后生物标志物。
结果:在多种癌症中,与肿瘤细胞或恶性肿瘤血管中的其他细胞相比,内皮细胞表现出最高的细胞衰老。基于这些发现,作者开发了一种肿瘤内皮细胞(TEC)相关的衰老相关转录组特征,与促肿瘤信号、促进肿瘤的免疫细胞反应失衡和多种癌症实体中受损的患者生存呈正相关。
结论:作者在本研究中建立了一个泛癌转录组特征,用于基于内皮细胞衰老的生存预测和免疫治疗反应预测。

流程图

图片

结果

1、肿瘤环境中单个细胞类型的衰老状态的评估

作者分析了5个已发表的肺癌、肝癌、结直肠癌、前列腺癌和膀胱癌等不同癌症的单细胞RNA-seq(scRNA-seq)数据。在肿瘤微环境中,TEC相比于肿瘤细胞或其他类型的细胞展现出更高的衰老相关基因集合的GSVA得分(Figure 1A-E)。因此,在恶性肿瘤中,TEC表现出最高的细胞衰老水平。

图片
Figure 1. 肿瘤环境中单个细胞类型的衰老状态的评估

2、基于内皮细胞衰老的泛癌转录组特征的开发

在18个单细胞数据集中,计算TEC细胞中与衰老相关基因集合的GSVA得分显著正相关的基因以及在TEC细胞显著高表达的基因作为内皮特异衰老调控基因(Figure 2A)。在18个单细胞数据集中,筛选得到102个几何平均值大于0.2的基因(EC.SENESCENCE.SIG),这些基因主要富集在细胞粘附和相互作用相关的通路上(Figure 2B)。

图片
Figure 2. 通过泛癌scRNAseq开发肿瘤内皮细胞特异性衰老相关转录组特征

3、使用EC.SENESCENCE.SIG对信号通路、免疫细胞反应和患者生存的泛癌预后进行预测

研究结果表明,几乎所有促癌信号通路都在EC.SENESCENCE.SIG相关高GSVA评分的恶性肿瘤中富集(Figure 3A)。在十多种癌症类型中,高GSVA评分与总生存期(OS)显著相关,包括胰腺癌(PAAD)、肺鳞癌(LUSC)、胃癌(STAD)和肾乳头状细胞癌(KIRP)。只有在甲状腺癌(THCA)中,GSVA评分高的患者比GSVA评分低的患者表现出更好的OS。此外,11种癌症的高GSVA评分与较短的无进展生存期(PFS)相关,而仅在肾癌(KIRC)中,高GSVA评分与较长的PFS相关(Figure 3B)。

图片
Figure 3. EC.SENESCENCE.SIG的泛癌分析

4、使用EC.SENESCENCE.SIG预测抗PD-L1 /PD-1或抗CTLA-4免疫检查点阻断反应

在TCGA中,EC.SENESCENCE.SIG在大多数癌症类型中与TMB呈现显著负相关(Figure 4A)。对肾癌和基底细胞癌的单细胞数据分析发现,免疫治疗耐药患者的内皮细胞表现出更高的EC.SENESCENCE.SIG基因的富集(Figure 4B-C)。

接下来,作者收集了13个PD-L1 /PD-1或抗CTLA-4免疫治疗数据,合并7个队列作为训练集,6个队列作为测试集构建机器学习预测模型(Figure 4D)。在10种机器学习算法中,KKNN有着最佳的预测性能,AUC为0.72(Figure 4E-F)。通过与其他预测模型相比,发现EC.SENESCENCE.SIG在多种癌症类型中均有良好的预测性能(Figure 4G-H)。

图片
Figure 4. 使用EC.SENESCENCE.SIG预测抗pd - l1 /PD-1免疫治疗的结果。

5、EC.SENESCENCE.SIG相关泛癌症预后模型的构建与验证

作者结合LASSO回归模型和逐步参数选择方法从102个基因中选择37个基因构建风险评分,发现风险评分较高的患者与较差的预后相关(Figure 5A-B)。因此,临床分期较高的患者风险评分明显较高(Figure 5C)。此外,风险评分与TCGA队列中所有癌症类型的几种促瘤信号通路的GSVA评分呈正相关(Figure 5D)。在多种癌症类型中,EC.SENESCENCE.SIG相关的风险评分与较差的整体生存显著相关(Figure 5E-J)。在外部验证集中,风险评分在预测癌症患者生存方面也有良好表现(Figure 6)。

图片
Figure 5. EC.SENESCENCE.SIG相关泛癌模型在TCGA中的预后表现。
图片
Figure 6. EC.SENESCENCE.SIG相关泛癌症模型在外部队列中的预后表现。

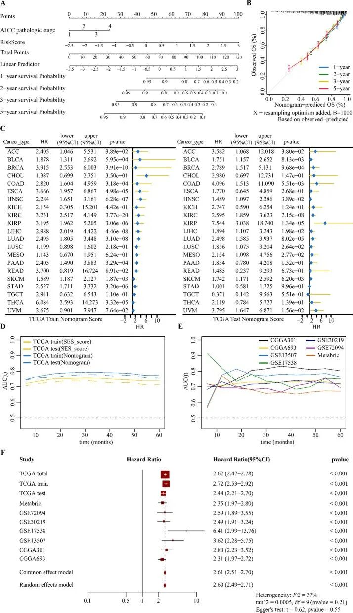
6、EC.SENESCENCE.SIG相关风险评分的泛癌临床预后nomogram的建立

在TCGA泛癌队列中,作者构建了结合临床疾病分期和EC.SENESCENCE.SIG相关风险评分的列线图(Figure 7A)。校准曲线显示,预测生存概率与实际生存高度一致,表明该列线图在生存预测方面具有稳健性(Figure 7B)。此外,列线图评分与大多数癌症类型的较差生存相关(Figure 7C)。重要的是,在TCGA训练集和测试队列中,由列线图评分预测的随时间变化的AUC比单独使用EC.SENESCENCE.SIG相关风险评分表现更好(Figure 7D)。此外,该列线图评分在不同癌症实体的外部验证数据集中显示出有希望的预后表现(Figure 7E)。整体来说,列线图评分能够作为癌症患者总生存期的重要风险因素(Figure 7F)。

图片
Figure 7. EC.SENESCENCE.SIG衍生列线图特征预测泛癌预后的评价

结论

本研究为恶性肿瘤血管细胞衰老相关的各种分子和细胞过程提供了新的见解。从转化的角度来看,本研究建立的内皮细胞相关、衰老相关的泛癌基因标记EC.SENESCENCE.SIG可能有助于精准肿瘤学的生存预测和免疫治疗反应预测。



发送期刊全称至生信发文助手公众号后台

即可查询中科院分区即时影响因子

图片

图片


微信扫一扫
关注该公众号